Ударное действие артиллерийских снарядов
Ударное действие артиллерийских снарядов — один из видов их разрушительного действия (см.), именно — при ударе в твердые предметы (земляные, деревянные, кирпичные, каменные и бронированные закрытия).
При ударе в твердую преграду, снаряд производит на некотором протяжении (сфера сотрясения) сотрясение частей преграды, чем разрушает их связь, а затем проникает в препятствие, образуя воронку или пробивая его насквозь.
Действие снаряда по броне (частный случай Ударного действия) обыкновенно называется бронебойным или бронепробивающим.
При стрельбе по земляным насыпям, углубившийся в нее снаряд разрывается и если не зарывается глубоко, то выбрасывает землю. Это действие носит название фугасного.
Мерою величины Ударного действия снаряда данного калибра служит объем или диаметр и глубина воронки, a также — наибольшая толщина брони, пробиваемой данным снарядом.
Законы углубления снарядов выведены путем наблюдения. Самые обстоятельные опыты над углублением шаровидных снарядов в разные твердые среды были произведены в Меце (Франция) в 1834-35 гг.
Впоследствии во многих государствах, в том числе и y нас на главном артиллерийском полигоне, производились опыты над углублением продолговатых снарядов в разные постройки и над пробиванием снарядами брони.
Работа, расходуемая при углублении снаряда в постройку, измеряется его живою силой. Опыты показали, что объемы воронок, образуемых снарядами данного устройства из известного материала, можно считать пропорциональными живой силе снарядов в момент попадания. При одинаковой живой силе, снаряд, имеющий большую скорость попадания, но меньший вес, проникает глубже; снаряд же большего веса, но меньшей скорости, сильнее потрясает и производит более широкую воронку. Т. об., смотря по надобности, можно увеличить или сотрясение, или проникновение. При данном весе и скорости попадания, ударное действие снаряда обуславливается его материалом и устройством, что особенно обвораживается при действии по постройкам чрезвычайной прочности (броня). Обыкновенные бомбы, при ударе в броню, разбиваются и не производят почти никакого действия; также и бронебойные снаряды, но слабые, деформирующиеся при ударе, оказывают слабое действие.
Заострение головные части снаряда способствует его прониканию в броню.
Шаровые снаряды, при попадании в земляную постройку, образуют воронки, состоящие из наружной расширенной части и внутренней цилиндрической; продолговатые же производят воронки более сложного вида, вследствие отклоняющего действия земли на снаряд, ось фигуры которого не совпадает с направлением касательной к траектории. Эти воронки, обыкновенно, уширяются в конце, что происходит от поворачивания снаряда; но в более прочных постройках продолговатый снаряд не может повернуться, и воронки получаются такие же, как и от шаровых снарядов.
При стрельбе снарядами с разрывным зарядом, вид воронки в прочных постройках много зависит от момента разрыва, если снаряд, обладая большой скоростью при ударе, успеет проникнуть в постройку на значительную глубину и затем разорвётся, то размеры воронки снаружи получатся такие же, как при действии снарядами без разрыва. Но если разрыв последует, когда снаряд только что углубился, то действие разрывного заряда обращается на увеличение размеров воронки с лицевой стороны.
Хотя при этом глубина воронки может быть менее, чем если бы снаряд вовсе не разорвался, но увеличение сферы сотрясения и наружного диаметра воронки в большой части случаев выгоднее увеличения её глубины.
На этом основано применение сильно-взрывчатых веществ для снаряжения бомб, назначенных для действия по твердым постройкам (Фугасные бомбы, бомбы-торпедо).
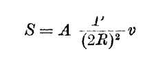
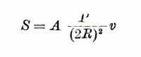
Вообще, глубина воронки, если постройка такой толщины, что снаряды ее не пробивают, приблизительно пропорциональны весу снаряда, приходящемуся на квадрат его диаметра, и скорости снаряда в момент удара, т. к. глубина воронки:
где A — коэффициент, зависящий от рода постройки.
Если входящие в эту формулу количества выражены в килограммах и метрах, то для приблизительного определения S, в пределах скорости удара продолговатого снаряда 170-500 м, может служить следующая таблица значений коэффициента A для различного рода построек:
|
Название среды |
А |
|
Каменная одежда хорошего качества |
0,040149 |
|
Каменная одежда среднего качества |
0,040187 |
|
Кирпичная одежда |
0,040224 |
|
Бетон крепкого состава |
0,040048 |
|
Бетон слабого состава |
0,040098 |
|
Гранит |
0,040155 |
|
Финляндский гранит |
0,040077 |
|
Песок смешенный с хрящом |
0,040169 |
|
Песчаная не слежавшаяся насыпь |
0,041146 |
|
Глина, смешанная с песком |
0,040611 |
|
Свежая глина |
0,041243 |
|
Слежавшаяся глина |
0,040819 |
|
Слежавшаяся насыпь, поросшая травой |
0,040616 |
|
Дуб, бук, граб, ясень |
0,040392 |
|
Вяз |
0,040502 |
|
Ель, береза |
0,040692 |
|
Тополь |
0,040737 |
Чтобы снаряды не пробивали насквозь, толщина земляной насыпи должна быть не менее 3/2 S, a деревянной постройки — не менее 4/3 S, где S — длина
углубления снаряда по вышеприведенной формуле.
Шаров снаряды, при одинаковых Р, 2R и v, пробивают воронку в 1 ? раза длиннее. Для вычисления толщины брони (см.), пробиваемой снарядом, существует много эмпирических формул.
В нашей же артиллерии пробивающее действие стальных бронебойных снарядов определялось по следующим формулам:
а) Против железных плит:
, для толщины (b) плиты более 10 дм.
- менее 10 дм.
б) Cтале-железных:
В этих формулах Р выражено в тоннах. v и g — в фт., 2R — в дм.
в) Из мягкой стали:
Здесь v выражено в метрах, и 2R — в дециметрах, P — в кг.
г) Стальные новейшей фабрикации:
где Pv2 — кг-м, 2P и b — ммт.;
? и µ — коэффициенты, характеризующие плиты и снаряды: для стале-никелев плит ? = 1,25, для гарвеированных (обработанных по способу Гарвея) — 1,75.
Для снарядов, одинаковых по качествам со снарядами Гольцера, µ = 1.
Ударное действие пуль зависит также от скорости в момент удара, материала и веса пули.
Наши 4-лн. пули пробивали на самых малых расстояниях (менее 100 шаг.) все переносные предметы(лопаты, нагрудники, ранцы, свернутые шинели, палатки...), рекомендуемые для прикрытия людей от пуль.
Около ? 4-лн. пуль пробивали железный лист в 1 лн. толщиною с расстояния до 1 т. шаг. Пули из твердых сплавов, употреблявшиеся в некоторых армиях (сплав 100 част. свинца с 9-4 част. сурьмы или 8 част. олова), обладают более сильным Ударным действием.
Нынешние же малокалиберные пули, в том числе и паши 3-лн., благодаря оболочкам из твердого метала и большой начальной скорости, производят очень сильное действие.
Опыты показали, что с расстояния 200 шаг. 3-лн. пули пробивают: лист хорошей стали толщиной в 1 ? лн., железный — в 3 лн., еловые брусья вдоль волокон — в 51,2 дм., такие же брусья поперек волокон — в 34 дм., отдельные дюймовые доски с промежутками в 2 дм. — 28 штук, такие же доски с расстояния 600 шагов — 15, с 1.500 шагов — 4, с 2.100 шагов — 3.
Отдельные 3-лн. пули с расстояния 50 шаг. углубляются: в сырую глину — на 26 дм., в сырой песок — на 6, в кирпичную стену — на 2 дм. При выпускании в одно и то же место нескольких пуль, глубина проникания значительно увеличивается.
В конце XIX века, англичанами в Индии произведены интересные опыты стрельбы из винтовок Ли-Метфорда залпами по кирпично-глиняным стенкам с расстояний 15-65 шаг. Оказалось, что 10-11 залпов из 20 винтовок достаточно, чтоб образовать в стенке толщиною более 2 фт. такое отверстие, чрез которые, при небольшом его расширении, может пролезть человек.
Если у Вас есть изображение или дополняющая информация к статье, пришлите пожалуйста.
Можно с помощью комментариев, персональных сообщений администратору или автору статьи!

Посетители, находящиеся в группе Гости, не могут оставлять комментарии к данной публикации.