Повозки военные
ПОВОЗКИ ВОЕННЫЕ
| |
К ним относятся передки, зарядные ящики, перевозочные средства осадной и креп. артиллерии (см.) и всевозможные повозки войскового обоза.
ПОВОЗКИ ВОЕННЫЕ должны удовлетворять, кроме обычных, еще и некоторым особенным требованием, т. к. они нередко бывают принуждены двигаться без дорог.
Первое исследование свойств ПОВОЗОК, и то лишь опытным путем, было предпринято в конце XVIII в. в Англии компанией дилижансового сообщения в южном Уэллсе; затем в 1836 г. французским военным министерством б. издано сочинение артиллерийских капитанов Мигу и Бержери: "Th?orie des aff?ts et des voitures d’artillerie", в котором впервые было изложено теоретическое исследование важнейших свойств ПОВОЗКИ; наконец, в 1838—41 гг. французский артиллерийский генерал Морен подробно изучил законы сопротивление местности движению ПОВОЗКИ на специально построенной им для этого двуколке с особым динамометром.
Из этих опытов выведено, что:
1) сопротивление местности скольжению ПОВОЗКИ (т.-е. движению саней) выражается касательной силой трения T=fN, где N — давление по нормали к местности, а F — т. называемый коэффициент трения при скольжении, который не зависит ни от скорости движение ПОВОЗКИ, ни от величины поверхности соприкосновении её с местностью, а только от материала и отделки полозьев, от качества местности и отчасти от величины нормального давления, немного увеличиваясь вместе с ним; для железных полозьев при деревянной мостовой F=0,42, а на каменной мостовой и на шоссе F=0,6;
2) трение действует и на ПОВОЗКУ, находящуюся в покое, если к последней приложена сила F, стремящиеся сдвинуть ее, причем сила трение равна и прямо противоположна проекции силы F на плоскость соприкосновения, и ПОВОЗКА остается в покое, пока F?f0N, гдеF0 — коэффициент трения при смещении — всегда несколько больше соответствующего коэффициента при движении;
3) движению колесной ПОВОЗКИ местность также оказывает касательное сопротивление T, под действием которого колеса вращаются; но этому вращению местность тоже препятствует (прилипание земли к шине, трение боков обода о стенки колеи и т. полк); и т. к. такое сопротивление д. б. выражено парою сил, то условились считать нормальное давление приложенным не в нижней точке колеса, а впереди неё, на расстоянии ? (фиг. 1), называемым коэффициентом трения при качении; он представляет число линейное (а F — число отвлеченное); для колес с железными шинами: ?=0,1 дм. при движении по железной настилке, 0,2 дм. — на деревянной мостовой, 0,4 дм. — на обыкновенной мостовой и на шоссе, 1,5 дм. — на грунтовой дороге и 3,5 дм. — при движении по песку.
Величина коэффициента ? на твердой местности не зависит от нормального давления N, на грунте же мягком или вязком ? увеличивается вместе с N (иногда даже пропорционально рис.) ширина обода не д. б. меньше 2 дм., т. к. иначе ? увеличивается вследствие сильного вдавливания колес в грунт; опыт убеждает, что наивыгоднейшая ширина шины — 2—6 дм.
Радиус колес сам по себе не оказывает влияние на величину ?, но увеличение их диаметра полезно в том отношении, что через препятствия (неровности почвы, камни) колеса большего диаметра легче перекатываются, вдавливая такие препятствия в грунт; в противном же случае препятствие протаскивается по местности, увеличивая значение ?.
Наконец, на твердой и ухабистой местности ? растет пропорционально скорости движения; при этом подрессоривание повозки сильно ослабляет это влияние скорости.
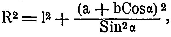
В теории повозок, исходя из этих данных, определяют величину тяги F, необходимой для движения 2 или 4-колесной повозки, изучают зависимость её от различных конструктивных элементов повозки и исследуют устойчивость, поворотливость, гибкость и независимость ходов повозки. Тяга для движение саней весом P (вместе с грузом) определяется формулой:
где ? — угол наклона местности к гарнизонту, а ? — угол, составляемый направлением силы тяги F с местностью; для саней с желез. полозьями по дерев. горизонт. мостовой (F=0,42) F=0,4P, а при уклоне 1/10 к гарнизонту F=0,5P; на обыкнов. мостовой и на шоссе (F=0,6), для F получим соответ-но 0,5P и 0,6P, а на снегу (F=0,05) F=0,05P и 0,15P. Для двуколки, движущейся равномерно, можно определять силу тяги по той же формуле, заменив в ней P на P+p, а F — на т. наз. коэф-т трение на шинах F1 причем
, P — вес пары колес, f’ — коэф-т трение колес об ось, R — радиус колес, R — радиус оси,
(на практике N обычно заключается между 1,15 и 1,33). Наконец, тяга для равномерного движение 4-колесной полк определяется формулой:
причем величины P1, n1, R1 и R1 относятся к переднему ходу, а P2, N2, R2 и R2 — к заднему.Наивыгоднейший угол тяги, определяемый из этих формул, изменяется от 25 мин. (на деревянной мостовой) до 8° (на песке); т. к. наклон постромков коренных лошадей д. быть таков, чтобы угол ? имел наивыгодное значение на наиболее трудной местности, и при развитии большей тяги лошадь опускает плечи, отчего угол ? неизбежно уменьшается, то для большей части войсковых полк и, особенно, у артиллерийских запряжек применяется наклон постромков к местности около 10—12°, выгодность которого б. подтверждена в 1816 г. специальными опытами французского генерала Бержа.
Т. к. неравномерность движение Повозки влияет на тягу в том отношении, что для увеличение скорости, как и при трогании с места, движитель д. развивать большее усилие, чем требующаяся тяга при установившейся равномерном движении, и тем большее, чем быстрее совершается перемена аллюра, то при усилении аллюра и, особенно, при трогании Повозок с места следует избегать порывистости движения и вообще избегать частых перемен аллюра и остановок В отношении конструкции всякая колесная Повозка состоит из рамы или кузова и одного (двуколка) или 2 ходов (4- колесная повозка), состоящих каждых из оси с парою колес.
Кузову или раме повозки придается устройство сообразно назначению повозки.
Оси делаются из железа или мягкой стали и иногда трубчатой системы (боевые оси лафетов) для уменьшения веса их при надлежащей прочности. Средняя часть — лопасть оси, выдерживающие наибольшую нагрузку, особенно у боевых (лафетных) осей, получает наивыгодную прямоугольную форму, обращенную большей стороной в вертикаьном направлении (по направлению усилия); концам же оси, для облегчение и без ущерба прочности, придается коническая форма, причем нижние производящие концов оси направляются горизонтально для устранения постоянного набегания колеса на концевые чеки или осевые гайки. Колесо, составляя одну из самых существенных и подверженных действию наибольших усилий частей повозки, требует тщательности изготовления и делается из лучших прочных пород дерева, чаще всего с металлической ступицею (фиг. 2), как более прочною, облегчающею сборку колеса и замену поломанных спиц, а также не изменяющеюся от атмосферных влияний при продолжительном хранении, особенно, в жарких местностях.
Ободья у легких колес — ясеневые или дубовые гнутые, а у тяжелых (орудийные колеса тяжелых клб. полевой и осадной артиллерии) — из гнутых отдельных косяков, обтягиваются железной шиной. Спицы из моложавого дуба располагаются с некоторым уклоном наружу — набровом (до 5°) для уменьшение выламывающего действия давления почвы при движении по скатам. Колеса составляют значительную часть веса повозки, доходя до 1/3 веса всей повозки вместе с полезной её нагрузкой.
Лафетные колеса полевой артиллерии весят каждое около 5 ? пд., а в осадной артиллерии вес колеса превосходит 9 пд. при диаметре около 5 фт.
Конструктивное совершенство всякой повозки характеризуется легкостью её на ходу, поворотностью, устойчивостью, а у 4-колесных повозок, — еще и независимостью соединения ходов и гибкостью его.
а) Мерою легкости па ходу повозки служит отношение силы тяги к полному весу нагруженной полк, т.-е. дробь

. Из вышеприведенныхх выражений для тяги видно, что легкость на ходу двуколки увеличивается (отношение

уменьшается) при увеличении радиуса колес и при уменьшении веса колес, радиуса концов оси и трение оси о втулку (при стальной оси бронзовая втулка и обильная смазка), а для 4-колесной повозки еще и при увеличении груза на задний ход при большем диаметре задних колес и при уменьшении этого груза в противном случае.
Т. к. центр тяжести повозки лежит обыкновенно выше её осей, то при подъемах в гору, когда особенно важна легкость повозки на ходу, на задний ход передается большая нагрузка; поэтому было бы, выгодно задние колеса иметь большего диаметра, но в отношении прокладывания колеи при движении без дорог большой диаметр передних колес облегчает тягу.
У большинства военных повозок колеса делаются одинаковыми у обоих ходов и возможно большего диаметра, что удобно еще и в отношении взаимной заменяемости колес, но вызывает заботу о возможно равномерном распределении нагрузки на оба хода. Легкость на ходу полевого лафета с передком на грунтовой дороге выражается дробью 1:17,5 при горизонтальной местности и 1:6 — при подъеме в 1/10.
б) Поворотливость повозок, т.-е. способность возможно легче и на меньшем радиусе допускать изменение направление движения, особенно важно для военных повозок, которым приходится иногда маневрировать на ограниченном пространстве и менять направление движения на прямо обратное, почему она и характеризуется радиусом полукруга, на котором возможно подобное изменение направления движения.
Для двуколки (фиг. 3), которая при повороте м. вращаться около средней точки О оси, радиус R поворотливости, очевидно, равен расстоянию от передних концов оглобель до этой т. О, и, следовательно, поворотливость двуколки возрастает с укорочением оглобель. Для 4-колесных же повозок (фиг. 4) наименьший радиус R поворотливости получается, когда одно из передних колес упрется в задний ход, и тогда из фиг. 4
откуда следует, что поворотливость возрастает с увеличением угла ?, для чего надо суживать передний конец заднего хода, относит больше назад от передней оси точку соединения ходов и уменьшать радиус передних колес (в городских пролетах ради большей поворотливости передние колеса проходят свободно под кузовом).
в) Устойчивость повозок, т.-е. способность двигаться, не опрокидываясь на бок, на покатой местности, когда одно из колес выше другого, весьма важна для военных повозок, нередко двигающихся без дорог по пересеченной местности.
Орудия, передки, зарядные ящики, двуколки и т. п.
Т. к. опрокидывания не будет, пока еще вертикаль из центра тяжести G (фиг. 5) не выходит за точку опоры нижерасположенного колеса, то устойчивость повозки характеризуется углом ? наклона к плоскости колеса линии, соединяющей центр тяжести полк с нижней точкой колеса.
Из фиг. 5:
(b — половина ширины хода, R — радиус колеса, а h — превышение центра тяжести повозки над осью), т.-е. устойчивость двуколки увеличивается с уширением её хода, с уменьшением радиуса колес и с понижением центра тяжести. Устойчивость 4-колесной повозки почти всегда несколько больше, чем у каждого её хода в отдельности, т. к. менее наклоненный ход удерживает другой от опрокидывания.
г) Независимость ходов — свойство 4-колесной повозки допускать одновременно неодинаковые боковые наклоны к горизонту у переднего и заднего ходов, даже наклоны в противоположные стороны одновременно; это свойство оценивается тем наибольшим углом ? (фиг. 6), который м. образовать между собою передняя и задняя ось; этим определяется способность повозки более или менее свободно передвигаться по пересеченной местности без дорог,
д) Гибкость 4-колесной повозки есть способность её при переходе через рытвины и бугры не расстраивать соединение ходов даже, когда передний ход поднимается, в то время как задний еще продолжает опускаться, или наоборот. Гибкость характеризуется углами ? (фиг. 7), на которые дышло (оглобли) способно отклоняться относительно рамы заднего хода вверх или вниз.
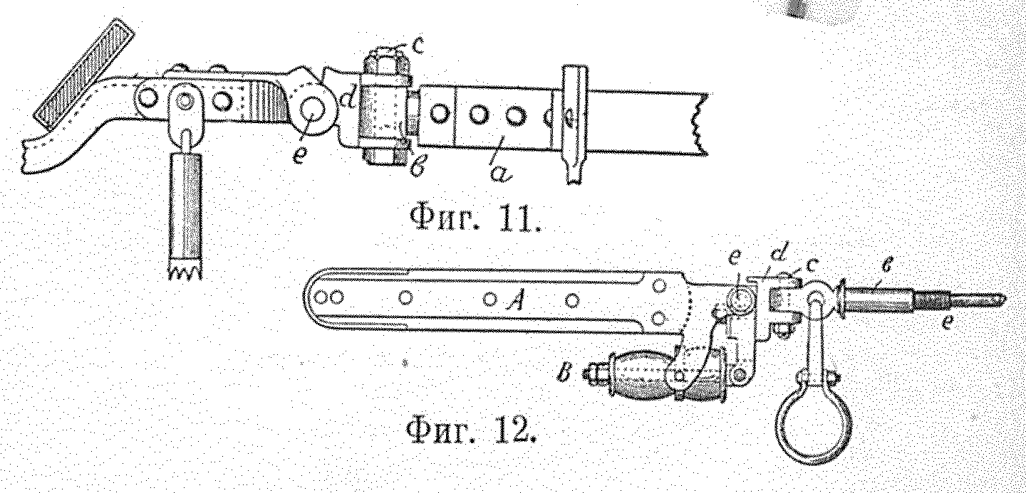
Степень независимости ходов и гибкости повозки зависит от способа соединения её ходов; это соединение, влияющее также и на устойчивость и поворотливость повозки, у военных повозок могут быть одного из следующих типов: шворневое, крюковое, шарнирное и слизневое.
1) При шворневом соединении задний ход надевается шворневой воронкой A (фиг. 8) или кольцом (фиг. 9) на шворень b, укрепленный на переднем ходе; гибкость и независимость ходов достигаются, благодаря зазору ("игре") шворня в воронке и очертанию самой воронки; соединение помощью воронки было принято в полевых системах обр. 77 г.; у полевых лафетов, ради большей гибкости и независимости ходов, введено кольцо (фиг. 9), укрепленное на хоботе снаружи. Шворень укрепляется на переднем ходе возможно дальше за осью, с целью увеличение поворотливости системы. Шворневое соединение просто, прочно, ослабляет давление дышла на холки лошадей, обеспечивает значительную поворотливость системы; гибкость же и независимость ходов невелики.
2) Крюковой способ соединения отличается от шворневого с кольцом тем, что хоботовое кольцо надевается на крюк, укрепленный позади переднего хода (фиг. 10), и, благодаря этому, обеспечивает большую гибкость повозки, но само соединение менее прочно, т. к. крюк и кольцо при небольшой поверхности соприкасания быстро истираются. Впервые б. принято к системе 6-дм. полевой мортиры.
3) Шарнирное соединение, по идее универсального шарнира Гука, допускающего вращение около 3 разных осей е, c и b, у нас осуществлено в 2 видах для инструментальных повозок и для зарядных ящиков полевой мортиры (ф.ф. 11 и 12); в последнем случае 2 каучуковых буфера на тяге В ограничивают вращение около оси е, уменьшая давление дышла на холки лошадей. Этим соединением обеспечивается полная независимость ходов, благодаря возможности вращения около продольной горизонтальной оси b на 360°, полная (фиг. 11) или несколько ограниченная гибкость (фиг. 12) и достаточная поворотливость; но оно сложно и, не допуская быстрого соединения и разъединение ходов, пригодно лишь для повозок, не требующих этих действий часто. Наконец,
4) слизневое соединение отличается от шворневого тем, что вертикальное давление, производимое задним ходом, принимается слизнем в виде железной дуговой полосы A (фиг. 13), расположенной перед шворнем b над осью, чем вполне уравновешивается дышло; но оно, кроме уже известных свойств обыкновенное шворневое соединение, обладает малой поворотливостью, вследствие малого выноса шворня назад за переднюю ось; применяется в осадных и крепостных передках и многих обозных повозках.
Из повозок, употребляемых в военном деле, лишь повозка специального назначения подчиняются строгим требованием в отношении конструкции, размеров и своих свойств, будучи предназначены для специальной укладки (зарядные ящики, всевозможные двуколки, санитарные линейки, инструментальные повозки и некоторые другие повозки обоза), а также повозки, подверженный значительным усилиям и особым условиям передвижения (лафет с передком, зарядные ящики, двуколки); громадное же большинство повозок войскового обоза набирают во время войны, не стесняясь конструкцией, из числа обывательских путем найма или реквизиции.
Распределение и виды специальных повозок см. Обоз войсковой и Перевозоч. средства артиллерии. Здесь же приведены вкратце конструктивные данные некоторых из них.
1) Полевой передок обр. 77 г. для батарейных и легких пушек, а также и для зарядных ящиков пешей артиллерии, ныне передан в крепости. Он состоит из железного короба А (фиг. 14) и деревянного подножного ящика, М, установленных на ход, состоящий из железной оси с парою деревянных колес диаметром 4 ? фт., из рамы В, составленной из 2 сниц углового железа, двух поперечных связей H, ваги D с крюками C для коренных постромков и березового дышла с кольцом спереди для нашильников от хомутов коренных лошадей и с нарыльным крюком для уносной ваги.
Дышло укреплено в скобках двумя поперечными болтами S и T и на нем имеется кожанный бушмат Т (трубка) для банника при посаженной прислуге и подстановка L для подпирания дышла при остановках.
В стыке A сниц укреплен шворень C и на цепочке шворневое кольцо Е, которое надевается на конец шворня поверх надетого на последний хобота лафета или стрелы зарядного ящика. Рама с осью соединена при посредстве направляющих боковых кронштейнов с подвязями и двух боченочных буферов R, помещающихся в развилинах k среди, поперечной связи (см. Буфер, фиг. 8). Короб A склепан со сницами, внутри разделен горизонтальной перегородкой на 2 яруса с гнездами для вдвигания внизу 6 снарядных клеток, а вверху — 6 кожаных зарядных сум, снабжен сзади 2 дверцами с шарнирами на средней вертикальной перегородке короба, а сверху на крыше короба имеются поручни с 3 сторон.
Вес пустого передка 33,5 пд., нагруженного (но без прислуги) — около 57 пд.
Ширина хода 5 фт.
Давление дышла на холки коренных лошадей при посаженной прислуге — около 2 пд.
Поворотливость системы лафета с передком около 90°, гибкость от –13° до +18° и независимость ходов около 19°,
2) Зарядный ящик обр. 77 г. для пешей артиллерии (передан в крепости), состоит из передка, одинакового с орудийным, и заднего хода, отличающегося от передка лишь формою и размерами рамы G, размерами короба (фиг. 15), который вдвое больше передкового и внутренней перегородкою T разделен на переднюю часть L и заднюю М, и устройством дверец, из коих каждая откидывается около своих нижних шарниров — передняя вперед, а задняя назад. К раме прикреплена стрела H со шворневой воронкою на конце и откидной подножкою R.
Вес зарядного ящика — 73 пд., а нагруженного (без прислуги) — около 123 пд.
Поворотливость — около 80°, независимость ходов — 25°, гибкость — как у системы орудия с передком; давление дышла на холки — около 1 пд.
З) Передок и зарядный ящик обр. 79 г. для конной артиллерии (переданы в крепости) отличаются от пеших главным образом размерами и весом, а также соединением рамы с осью (см. Буфер, фиг. 9), короба передка и заднего хода (фиг. 16) одинаковы, высота их меньше, чем у пеших, для большей устойчивости (центр тяжести ниже); зарядные сумы вкладываются в верхний ярус, лежмя; дверца одна, откидывающаяся книзу. Вес пустого передка — 33 пд., нагруженного — около 50 пд.
Поворотливость системы лафета с передком — 90°, независимость ходов — 19°, гибкость от –11?° до +20?°; давление дышла на холки лошадей нет. Вес пустого зарядного ящика — 62? пд., нагруженного — 98 пд.; поворотливость — 82°, независимость ходов — 22°, гибкость — как у системы орудия.
4) Передок обр. 1900 г. для полевой скорострельной артиллерии, легкой и конной (различаются величиною короба), имеет прямоугольную раму A (фиг. 17), шворень F, подрессоренный буферами (см.Буфер, фиг. 13 и 14), на особой лапе ниже рамы (закрепление надетого на шворень хобота производится засовом), дышло в корневом конце тоже подрессоренное (см. Буфер, фиг. 16), и постромочные крюки на ваге b, также снабженные буферами (см. Буфер, фиг. 15).
Задняя дверца короба откидывается назад на шарнирах; внутри короб легкого передка разделен вертикальными перегородками на 3 части, а горизонтальными — на 4 яруса; в конном — только 3 яруса, благодаря чему его короб ниже легкого и центр тяжести его лежит ниже. В гнезда вдвигаются патронные лотки (см. Лоток).
Колеса с стальной ступицею.
5) Зарядный ящик для 3-дм. полевой скорострельной артиллерии имеет передок, одинаковый с орудийным, а задний ход (фиг. 18) такой же, как передок; вместо дышла имеет стрелу Б со шворневым кольцом на конце.
Задняя дверца и передняя стенка короба сделаны из щитовой стали (у бронированных зарядных ящиков новейшего изготовления), не пробиваемой ружейными пулями с дистанции 300 ш.; благодаря этому, при откинутой дверце образуется броневое закрытие для ящичной номерной прислуги на позиции.
Вес зарядного ящика с полной укладкой — 119 пд. (легкого) и 102 пд. (конного).
6) Передок и зарядный ящик для полевой 48-лн. гаубиц (фиг. 19) отличаются от вышеописанных, главным образом, подрессориванием рамы — она лежит на лопасти оси на толстой пластине, и тем, что короб передка имеет только 3 яруса для лотков, а короба заднего хода — 4 яруса.
7) Передок и зарядный ящик для 3-дм. горной скорострельной артиллерии см. фиг. 8 в ст. Зарядн. ящик.
8) Зарядный ящик обр. 89 г. переделан из мортирного для гаубичных парков из экономических соображений, причем переделка, гл. обр., коснулась внутренней разгородки коробов для перевозки гаубичных снарядов и гильз с зарядами (в лотках).
Передок и задний ход одинаковы (фиг. 20), имея деревянный кузов, окованный железом; у заднего хода вместо дышла стрела с кольцом для шарнирно-крюкового соединения ходов. Подрессоривание ходов сходно с зарядными ящиками обр. 79 г.
В каждом ходе уложено 18 снарядов в 6 двойных и одиночных лотках и 6 лотков с 18 гильзами.
Вес пустого зарядного ящика — около 52 пд., а с комплектом и снаряжением — 124 пд.
9) Инструментальная повозка обр. 83 г. в обозе каждой полевой батареи служит для перевозки некоторых запасных частей, материалов, подков, походной кузницы и мастерового инструмента. Она состоит (фиг. 21) из передних и задних 2-колесных ходов.
Каждый ход составляют железная рама А, соединенная с нею при помощи дубовой накладки S ось и помещенный на раме низкий деревянный ящик В с откидными боковыми стенками.
Оба хода соединяются шарнирным сочленением (см. фиг. 11 или 12); у заднего хода винтовой тормоз kh с 2 деревянными башмаками G.
На повозку устанавливаются 3 деревянных сундука:
1) для материалов и подков,
2) для мастерового инструмента и
3) для запасных частей.
Кроме того, на повозку устанавливаются походная кузница (в деревянном ящике), запас угля (в железном ящике) и кожаные чемоданы с мягкими материалами (кожа и др.).
Запряжка четверочная в унос.
Вес нагруженной повозки — 86 пд., а пустой — 37 ? пд.
Диаметр колес 4 фт. Поворотливость — 90°, независимость ходов — полная (360°), а гибкость (при шарнире с буферами) от –10° до + 24°.
Повозки войскового обоза более общего назначения:
10) Парная полк обр. 84 г. (полковника Никифорова) служит в обозе всех родов войск для перевозки провианта и хозяйственных предметов и состоит (фиг. 22) из переднего хода с дышлом и вальковой вагою и из заднего хода с деревянным кузовом А, соединяемых между собою шворнем и цепью.
Передний ход составляют железная ось с 2 колесами, осевая дубовая накладка, 2 березовые сницы, врезанные в накладку передними концами и сходящиеся сзади под кузовом, где сквозь них и дно кузова пропускается шворень, нижним концом подтянутый цепью к задней оси. Дышло с вагою с 2 вальками задним концом скреплено шарнирно с осью болтом и железными тягами от концов ваги. Задний ход составляют такая же ось с колесами, накладка и кузов, образуемый продольными и поперечными брусками, вертикальными стойками, верхними продольными грядками, досчатым дном и боковой деревянной обшивкой. Спереди кузова к верхним грядкам подвешивается на ремнях деревянный ящик — сиденье ездового, а сзади — съемный щит В.
Повозка снабжена рычажным CCC и башмачным D тормозами.
Вес пустой повозки около 25 пд.; с полной укладкой и ездовым — 65 пд. (в кавалерии — 61 пд.). Поворотливость — 50°; независимость ходов — 13°, гибкость от –10° до +90°.
11) Хозяйственная двуколка обр. 1890 г. для хозяйств. предметов, а также для офицерского и санитарного имущества, без рессор, с оглоблями для одноконной запряжки, состоит (фиг. 23) из 2-колесного хода с железной осью с лопастной накладкой и из укрепленного на ней деревянного кузова, образуемого основными продольными грядками, поперечными брусками, вертикальными стойками, верхними грядками, боковой деревянной обшивкой и досчатым дном.
Сзади кузов закрыт выемным щитком, а спереди подвешена на ремнях доска, — сиденье ездового.
По бокам основных грядок наглухо притянуты окованные корневые концы оглобель; на правой оглобле — подстановка.
Вес двуколки — 12 пд., с полной нагрузкой — около 34 пд.
Подобных же двуколок имеется в войсковых обозах различных частей несколько типов для перевозки казны, канцелярии, в пулеметных командах, для телефонного имущества, для инструмента, а также аптечные (см.), санитарные и ветеринарные, для наблюдательных вышек в артиллерии и др.
Для перевозки ружейных патронов в строевых частях и в парках имеются двуколки 3 типов:
12) Одноконная патронная двуколка обр. 83 г. без рессор (для пехотных частей) состоит (фиг. 24) из железной оси с колесами, из скрепленной с осью деревянной рамы с подножной доской Aи с прикрепленными по бокам рамы оглоблями и из деревянного сундука-кузова А.
На его крыше, открывающейся на петлях в бок, укреплен ящик-сиденье В с поручнями.
Кузов внутри оклеен сукном и служит для укладки 20 патронных цинковых коробок (с 6 т. патр.).
Вес двуколки — 11 ? пд.; с полной нагрузкой — около 30 ? пд.
13) Одноконная патронная двуколка обр. 87 г. (для кавалерии) состоит (фиг. 25) из железной оси с колесами и из подрессоренного (см. Буфер, ф.ф. 10, 11 и 12) деревянного короба А, оклеенного внутри парусиной; основная рама и крыша короба — железные.
Внутри кузова укладывается 20 цинковых коробок с 6 т. патронов.
На крыше устроен ящик-сиденье Б для ездового, а в передней части рамы имеется подножка и по бокам прикреплены оглобли.
Вес двуколки — 12 пд., а с полной нагрузкой — около 32 пд.
14) Парная патронная двуколка обр. 95 г. (для пехоты) подрессорена, как и предыдущая, и состоит (фиг. 26) из хода и из обитого железом короба А с железной рамою.
Крыша Б обитая железом, откидывается назад и удерживается дугоюВ с зубцами в.
Внутри короба укладывается 48 цинковых коробок с 14.400 патронов.
Сзади под коробом прикреплен ящик Г для принадлежности и подстановка; к дышлу полагается испанский дышловый подвес или же на его конце имеются железные рычаги французского подвеса. Вес двуколки — 18 ? пд., а с полной укладкой — около 56 ? пд.
Для перевозки больных и раненых имеется несколько типов повозок:
15) Четверочная лазаретная линейка обр. 77 г. (для пехоты, полевой артиллерии и подвижных госпиталей) состоит (фиг. 27) из переднего и заднего ходов с железными осями и из кузова, укрепленного на задней оси при помощи 2 боковых и на передней оси — одной поперечной стальных хомутовых рессор.
Хода соединены при помощи 2 дрожин В, шворня и слизня на двух сницах А переднего хода. К кузову C прикреплены деревянные дуги, обтянутые брезентом, образующим крышу и подъемные бока, а внутри, вдоль кузова, устроены скамейки для сидячих больных и приспособление nn, для подвески верхних носилок с лежачими больными.
Принадлежность линейки составляют 2 нижних и 2 верхних носилок.
Т. обр., линейка может перевозить 8 сидячих или 4 лежачих больных.
Спереди имеется сиденье Е для ездового, с парусиновым фордеком.
Вес пустой линейки — 42 пд., а с полной нагрузкой. — около 105 пд.
16) Четверочная лазаретная линейка обр. 87 г. (для тех же войскых частей) снабжена каучуковыми рессорами и состоит из переднего и заднего ходов, соединенных дрожиною и шворнем, и из кузова, установленного на каучуковых буферах с системою рычагов.
Кузов покрыт крышей (фиг. 28), а с боков и сзади снабжен опускными брезентовыми занавесками. Внутри имеются скамейки и приспособление для установки имеющихся при линейке 2 носилок.
Линейка снабжена рычажным подушечным тормозом с винтовой рукояткой у ездового и приспособлена для перевозки 8 сидячих и 2 лежачих больных. Вес линейки — около 50 пд., а с полной нагрузкой — около 112 ? пд.
Для кавалерии и конной артиллерии служит:
17) Парная лазаретная линейка обр. 92 г., подрессоренная каучуковыми буферами (фиг. 29) и состоящая из 2 ходов и кузова с крышей и брезентовыми боковыми занавесами.
Линейка снабжена башмачным тормозом.
В кузове имеются 2 сиденья для 4 сидячих больных или на эти же сиденья могут быть установлены имеющиеся при линейке носилки для лежачих больных.
Вес линейки — около 28 пд., а при полной нагрузке — около 60 пд.
18) В 1912 г. введена одноконная двуколка(без сиденья для ездового) для перевозки 2 лежачих больных.
Двуколка (фиг. 30) состоит из легкого прямоугольного деревянного кузова с откидным задним щитом и с пятью деревянными дугами, обтянутыми брезентом, и из 2-колесного хода, соединенного с кузовом двумя стальными лежачими рессорами.
К кузову прикреплены 2 оглобли.
Дуги брезентовой покрышки — складные, легко вставляются в соотвующие гнезда и легко могут быть сняты, сложены и уложены в двуколку.
Для перевозки сидячих больных служит съемное сиденье в виде рамы, обтянутое парусиной, с откидною спинкой.
Лежачие больные перевозятся на паре носилок, устанавливаемых на грядки.
Спереди кузова имеются ящик для принадлежности и гнезда для фляг с водой. Сзади под кузовом имеется другой ящик для овса.
Для влезания в двуколку задний щиток откидывается, служа лестницей. Ездовой при перевозке раненых идет рядом с лошадью, ведя ее шагом. При порожней двуколке ездовой м. помещаться на сиденье внутри двуколки.
Вес пустой двуколки с носилками и сиденьем — около 15 пд.
Кухни, служащие войскам на походе, см. Военно-походн. кухни.
Если у Вас есть изображение или дополняющая информация к статье, пришлите пожалуйста.
Можно с помощью комментариев, персональных сообщений администратору или автору статьи!

Посетители, находящиеся в группе Гости, не могут оставлять комментарии к данной публикации.