Полевой дальномер
Полевой дальномер
| 15-ти футовый дальномер типа F.R. для линкоров и береговых укреплений |
| 9-ти футовый дальномер типа F.G. для линкоров и крейсеров |
| 4.5 футовый дальномер типа F.A. для линкоров и крейсеров |
| 4.5 футовый дальномер типа F.T. для полевой артиллерии |
| 4.5 футовый дальномер типа F.G. для полевой артиллерии |
| 1 метровый дальномер типа F.G. для пехоты, кавалерии и пулеметов |
| 1 метровый дальномер типа F.G. для пехоты, кавалерии и пулеметов |
| 26.5 дюймовый дальномер типа F.Т. для пехоты, кавалерии и пулеметов и корабельной навигации |
| 26.5 дюймовый дальномер типа F.Т. для пехоты, кавалерии и пулеметов и корабельной навигации |
ПОЛЕВОЙ ДАЛЬНОМЕР, прибор для определения дистанций без непосредственного их измерения, применяемый в полевых войсках (см. также Дальномеры).
Требования, к ним предъявляемые:
1) возможность измерять дистанцию до подвижных и неподвижных целей одному наблюдателю с одной точки стояния;
2) простота и удобство обращения;
3) легкость обучения пользованию ими;
4) простота и прочность конструкции;
5) несложная и быстрая выверка и исправление прибора;
6) портативность и
7) дешевизна.
Наиболее совершенными являются оптические полевые дальномеры с базой внутри прибора, которые имеются 2 типов: монокулярные и стереоскопические (бинокулярные).
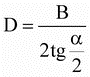
1) Монокулярный дальномер представляет собой двойную зрительную трубу с одним окуляром Ок (фиг. 1); базой прибора В является расстояние между центрами входных окошек А1 и А2.
Измерение дистанции D сводится к решению на местности ? A1 A2 M, у которого вершина у цели M, а основание равно базе В. Т. к. поле зрения трубы не превышает 4°, углы при основании ? близки к прямым, а угол ?, т. наз. параллакс базы, очень мал, то в выражении для расстояния до цели

можно

заменить

через выраженный в радианах (радиан =57°,3); если измерять угол ? в секундах, то![]()
Т. обр., измерение дистанции D сводится к измерению параллакса базы ?.
Схема Устройства (фиг. 2, план): на концах базы, под углом 45° к ней, установлены плоские зеркала S1 и S2 — концевые отражатели.
Лучи от предмета, до которого измеряется дистанция, отразившись от этих зеркал, проходят через объективы Ob1 и Ob2 встречают на своем пути зеркала S'1 и S'2 — окулярные отражатели, параллельные соответствующие концевым отражателям. Зеркала S'1 и S'2 установлены одно над другим; поэтому стоящее ниже оптической оси прибора зеркало S'1, отражает только половину лучей, идущих от предмета, и именно только от верхней его половины (труба дает перевернутое изображение цели), а верхнее зеркало S'2 отражает лучи только от нижней половины предмета; изображение это рассматривается через окулятор О одним глазом.
Если предположить для наглядности, что рассматриваемый предмет (мачта с флагом) находится на перпендикуляре к левому концу базы, то изображение a от левого объектива (верхняя часть предмета) получится в середине поля зрения трубы, а изображение в от правого объектива (нижняя часть предмета) будет смещено влево (пунктир в поле в), т. к. лучи от зеркала S'2 идут не параллельно базе, а несколько отклонены от неё вперед.
Для уничтожения сдвига нижней части изображения относительно верхней на пути лучей между S2 и Ob2 ставят клинообразную призму T, отклоняющую лучи к своему основанию. Передвиганием клина T вдоль базы направляют лучи правой части трубы под таким наклоном к зеркалу S’2, что сдвиг верхней части изображения относительно нижней уничтожается (сплошная линия в поле в).
Чем меньше измеряемая дистанция, тем сильнее отклонение лучей правого объектива Ob2 и тем ближе к нему д. продвигаться призма T для уничтожения сдвига.
Т. к. каждой дистанции отвечает определенное положение клина T, то дистанции можно читать по прикрепленной к клину шкале М, перемещаемой им относительно неподвижного указателя N.
Все оптические части дальномера помещены в прочной оболочке — металлической трубе.
Для устранения вследствие прогиба трубы неправильностей в показаниях дальномера, в первых образцах все эти части заключались в двойную металлическую трубу, что, однако, сильно увеличивало вес дальномера.
В новейших образцах (на начало I Мировой войны) роль концевых отражателей, вместо зеркал S1 и S2 (фиг. 2), выполняют 5-гранные призмы (пентапризмы) P1 и P2 (фиг. 3), у которых грани, наклонены друг к другу под углом 45°, высеребрены снаружи и служат отражателями; иногда же вместо пентапризм просто устанавливают 2 плоских зеркала под углом 45°. При таком устройстве концевых отражателей дальномер менее чувствителен к изгибу в горизонтальной плоскости: некоторый поворот пентапризмы около её вертикальной оси не изменяет направления и взаимного положения лучей, входящих и выходящих из пентапризмы. Пентапризмы дают, кроме того, возможность несколько уменьшить вес дальномера: внутренняя труба делается теперь короткой, служа для помещения в ней только объективов и окулярных отражателей, а остальные части помещаются в наружной трубе. Окулярные отражатели устраиваются различно в зависимости от того, каково д. б. даваемое ими изображение, по характеру которого монокулярные дальномеры разделяются на 2 типа:
а) дальномеры с одиночным (прямым) изображением (тип Koincidenz), пересечением горизонтальной линией раздела (фиг. 4). Нижняя часть изображения получается смещенной относительно верхней (неподвижной) и при измерении дистанции помощью измерит. клина приводится в совпадение с верхней частью в одно полное прямое изображение. Этот тип дальномера удобен для измерения дистанций до целей с резкими вертик. очертаниями. Таким дальномером удобно пользоваться также, как трубой большого увеличения, для ориентировки в окружающей местности. Окулярными отражателями у них служат 2 треугольные призмы Р'1 и Р'2 (фиг. 3), расположенные одна над другой и снабженные крышеобразными отражающими гранями, которые (см. ст. Панорама, фиг. 4), отражая лучи под прямым углом, вместе с тем выпрямляют изображение, даваемое объективом, которое было бы иначе перевернутым. б) Дальномеры с двойным изображением (тип Invert), из коих верхнее (фиг. 5) обратное (опрокинутое), а нижнее — прямое и оба касаются горизонт. линии раздела. Здесь также нижнее изображение, смещенное относительно верхнего неподвижного, при измерении дистанции перемещается измерит. клином до совпадения соответствующих его точек с верхним изображением. Для совмещения вершин изображения цели пользуются горизонт. линией раздела, а для совмещения каких-нибудь боковых заметных точек цели — вертикальной чертой (фиг. 7), имеющейся у некоторых дальномеров в левой части поля зрения. Для применения такого дальномера в качестве зрит. трубы пригодна только нижняя часть поля зрения (с прямым изображением), поэтому для увеличения этого поля иногда линию раздела поднимают (фиг. 6) приблизительно на 1/6 диаметра (сист. Герца), или же помещают обратное изображение в небольшой окнообразной вырез (фиг. 7) над линией раздела (сист. Цейсса). Второй способ имеет то преимущество, что точки совмещения изображений находятся близ оптической оси трубы, где изображения получаются наиболее резкими и неискаженными.
Окулярными отражателями в дальномере с оконообразным вырезом служит крышевидная треугольная призма Р'1 (фиг. 8) и призма Р'2 с тройным отражением. Крышевидная призма дает от левого объектива прямое изображение предмета, а призма P'2, вследствие нечетного числа отражений в горизонтальной плоскости, только восстанавливает правильность положения правой и лев. сторон в изображении, которое получается в окошечке, а по высоте это изображение остается опрокинутым, при чем оно получается только от лучей, отражаемых небольшой высеребренной частью в грани призмы Р'2.
В новейших образцах полевых дальномеров измерительный клин T (фиг. 3), перемещающийся поступательно, заменяется системой 2 вращающихся клиньев T1 и Т2 (фиг. 8 и 9), при чем, когда оба клина обращены своими преломляющими углами ? в одну сторону (фиг. 9а), то преломляющий угол системы будет наибольший (2?), а при повороте каждого клина на 90° в противоположные стороны система обратится в пластинку с параллельными гранями (фиг. 9в), не изменяющую направления проходящих через нее лучей; в промежуточных положениях клиньев преломляющий угол системы изменяется от 2? до 0°. Дальнейшее вращение клиньев до 180° вызывает вновь постепенное увеличение преломляющего угла от 0° до 2?, но с отклонением лучей уже в другую сторону. Каждый из клиньев соединен с конической зубчаткой (фф. 8 и 10), приводимыми во вращение общим зубчатым приводом. К левому клину прикреплен целлулоидный диск M со шкалою и около него неподвижный указатель N. Деления шкалы и указатель прозрачны (на черном фоне) и, освещаемые лучами из окна с (фиг. 8), отражаемыми призмой D, дают свое изображение помощью особого объектива f и отражательной призмы g в поле зрения сбоку (фиг. 7), где и рассматриваются через окуляр О. Каждый дальномер снабжается еще выверочными приспособлениями, позволяющими устранять ошибки по высоте и по дальности, происходящие от расстройства самого дальномера. Выверочное приспособление по дальности состоит из клина R (фф. 3 и 8), вращающегося около оси дальномера и соединенного с особой выверочной шкалой.
Выверка дальномера производится:
1) по предметам на известном расстоянии,
2) по звездам и
3) при помощи поверочной линейки.
При выверке по 1-му способу шкалу устанавливают на известное расстояние до предмета, на который дальномер наводят, и совмещают изображения при помощи выверочного приспособления.
Выверка по звездам возможна только ночью, при чем шкала устанавливается на бесконечность.
Поверочная линейка заменяет собой бесконечно удаленный предмет и имеет (фиг. 11) на концах 2 указателя в виде черных полос на белом фоне на расстоянии базы дальномера. Линейку помощью её оптического визира устанавливают параллельно базе дальномера; тогда в поле зрения последнего получается изображение, представленное на фиг. 12, и т. к. при этом лучи параллельны между собой, то изображения полос в средней части поля, при установке шкалы на бесконечность, д. б. совмещенными; если же этого нет, то показания дальномера д. б. исправлены выверочным клином R.
При расстройстве дальномера по высоте оба изображения располагаются несимметрично к линии раздела (ср. фф. 4 и 13).
Неисправность, путем поднятия или опускании одного из изображений, исправляется либо вращением внутренней трубы дальномера вокруг оси, проходящей через оптический центр объективов, либо установкой на пути лучей 2-ой системы из 2 вращающихся клиньев. Выверка по высоте производится после выверки по дальности, т. к. последняя сама вызывает некоторую ошибку по высоте.
Точность показаний монокулярного дальномера.
Измерение дистанции
сводится к измерению угла ?, которое производится косвенно посредством совмещения 2 изображений, при чем ошибка при самых благоприятных условиях для невооруженного глаза не м. б. меньше 10-12 сек.
Углу ?' определенному с ошибкой ±??=±12 сек., соответствует ошибочная: дистанция
где ?'= ?±??; отсюда
Т. к. D и D' весьма мало отличаются друг от друга, то приблизительно
т.-е. абсолютная ошибка
в определении дистанции при данных ?? и B, пропорциональна квадрату её, а относительная ошибка т.-е. пропорциональна самой дистанции. При дальномере с трубой V-кратном увеличения угловой ошибки по сравнению с невооруженным глазом уменьшаются в V раз; поэтому формула для определения относительной ошибки принимает такой вид:
В таблице приведены относит. ошибки, вычисленные по этой формуле для 11-кратных полевых дальномеров пехотного (B = 70 см.) и артиллерийского (B = 1 м) при ?? — 12 сек., а также указаны предельные значения относительных ошибок, допускаемые техническими условиями на прием полевых дальномеров.
|
Дистанции. |
Д. пехотный. |
Д. артиллерийский. |
||
|
Ошибки в %%. |
Ошибки в %%. |
|||
|
Теоретич. |
Предел. |
Теоретич. |
Предел. |
|
|
750 |
0,41 |
1,0 |
0,84 |
1,3 |
|
1.500 |
0,80 |
2,0 |
1,69 |
2,6 |
|
2.500 |
1,31 |
4,0 |
2,82 |
4,8 |
Примечание: Дистанции для пехотного дальномера в шаг., для артиллерийского — в сж.
Характерные данные монокулярных полевых дальномеров: увеличение 11-кратное; поле зрения 4°; диаметр глазного кружка 2,25 мм.; база у пехотного дальномера 70 см., у артиллерийского — 1 м; шкала пехотного — от 400 до 10 т. шаг., артиллерийского — от 400 до 10.000 сж. Вес без чехла — соответственно 12 и 14 фн., вес треног к ним 6 и 12 фн.
Для производства одного измерения требуется ? - 1 мин. На фиг. 14 показан дальномер системы Цейсса.
2) Стереоскопический дальномер фирмы К. Цейсс, построенный по идее инженера Грузильера, разработанной Пульфрихом, представляет собой стерео-трубу (см. Трубы зрительные) с неизменной базой (фиг. 15).
В фокальных плоскостях объективов, где получаются действительные (прямые и уменьшенные) изображения рассматриваемых предметов, установлены стеклянные пластинки S1 и S2 со стереоскопическими изображениями измерительной шкалы.
При одновременном рассматривании каждого из этих изображений соответствующим глазом, "наблюдатель видит в пространстве ряд значков, расположенных вдоль зигзагообразной ломаной линии, с цифрами над ними (например, от 200 до 10 т. сж. на фиг. 16), указывающими соответствующие дистанции.
Измерение дистанций стереоскопическими полевыми дальномерами производится так: установив дальномер в направлении цели, наводят его сначала на небо над целью и приспособляют окуляры по глазам так, чтобы шкала была ясно видима стереоскопически; после этого поворачивают дальномер около его горизонтальной оси, пока какой-нибудь значок шкалы своим нижним острым концом не подойдет к вершине цели.
Дистанция прочитывается по этому значку непосредственно.
Стереоскопическое видение предметов обоими глазами обусловливается тем, что на обоих сетчатках получаются неодинаковые изображения, отвечающие углу между осями глаз в 10-12 сек., служащему мерой остроты стереоскопического зрения. Зависимость между дистанцией D (фиг. 17), базой дальномера B и углом между осями глаз Е, — бинокулярным параллаксом, — будет того же вида, что и для монокулярного дальномера, т.-е.
Острота стереоскопического зрения при пользовании двойной трубой V-кратного увеличения соответственно в V раз больше; поэтому ошибка ?D при измерении дистанции выразится формулой:
Точность измерений стереоскопическим и монокулярным дальномерами при одинаковых базах и увеличении теоретически д. б. одинаковой (?E=??). Опыт же показывает, что ошибки при измерении дистанции стереоскопическим дальномером превышают ошибки не только теоретические, но и предельные, допускаемые условиями; например, для полевого дальномера с базой 1 м при 12-кратн. увеличении относительные ошибки получаются:
|
на |
750 |
сж. |
1,5% |
|
" |
1.500 |
" |
3,1% |
|
" |
3.000 |
" |
6,7% |
Стереоскопический дальномер менее удобен, чем монокулярный, т. к. требует для обучения наблюдателей более продолжительных упражнений. В опытных же руках стереоскопический дальномер весьма ценный прибор для определения дистанций до быстро движущихся целей (например, воздушный флот): время, необходимое для определения дистанции, около 30 сек.
По своим оптическим данным и размерам стереоскопические дальномеры одинаковы с монокулярными с той же базой.

Посетители, находящиеся в группе Гости, не могут оставлять комментарии к данной публикации.